Magnetic Properties of 2D-Network Magnetic System Consisting of Mn4 Single-Molecule Magnet

The magnetic field dependence of heat capacities of 2D network materials consisting of Mn4 single-molecule magnets connected by dicyanamide anions are studied between 0.6 K and 8 K. The thermal anomalies related to the formation of antiferromagnetic long-range ordering of large spins (S=9) by the superexhange coupling between neighboring clusters are observed. However, the heat capacity peak is drastically suppressed by applying weak magnetic field, especially when the field is applied parallel to the 2D plane. In the case of TN=2.1 K material, magnetic order was found to be arisen by the ground state doublet of Sz=9, Sz=–9 only, and the competitive picture between bulk magnet and SMM gives rise to an intrinsic peak broadening effects probably resembles to the finite-size effects in the magnetic clusters.

(by Y. Nakazawa & T. Fujisaki)

Fig. 1

Fig. 1. Energy diagram of the Mn4 cluster complexes with S=9.

Fig. 2

Fig. 2. 2D-network system consisting of single-molecule magnets.

Fig. 3

Fig. 3. Heat capacity of (1)[Mn4(hmp)6{N(CN)2}2](ClO4)2, (2)[Mn4(hmp)4Br2(OMe)2{N(CN)2}2]·2THF·0.5H2O, (3)[Mn4(hmp)4(pdm)2{N(CN)2}2](ClO4)2·1.75H2O·2Me(CN).

Fig. 4

Fig. 4. CpT–1 vs. T plot for [Mn4(hmp)4Br2(OMe)2{N(CN)2}2]·2THF·0.5H2O. The origin of the peak broadening is considered as the blocking of spin-reversal observed in single-molecule magnet.


Magnetic Phase Transition in the 1D Charge-Ordered Insulator of (DI-DCNQI)2Ag

Heat capacity measurements of organic charge transfer salt consisting of acceptor molecules of (R1,R2-DCNQI) (R1,R2=I) and monovalent metal cation M=Ag are performed by the thermal relaxation technique. In this salt, the formation of charge-ordered state due to nearest-neighbor Coulomb repulsion is expected around 220 K. However the spin degree of freedom survives down to low temperatures and behaves as a kind of one-dimensional spin system. At about 5–6 K, it falls into an antiferromagnetically ordered state. Our recent experimental analysis of low-temperature heat capacity shows a clear peak structure around 6 K, which has magnetic-field dependence. The data obtained under external fields up to 10 T applied both parallel and perpendicular to the stacking direction revealed that the spin easy axis is c-axis and a spin-flop transition takes place between 1 T and 2 T when the magnetic fields are applied parallel to this axis.

(by Y. Nakazawa & K. Okuma)

Fig. 1

Fig. 1. Molecular structure of DI-DCNQI (2,5-diiode-N,N'-dicyanoquinonediimine). In (DI-DCNQI)2Ag crystal, DI-DCNQI molecules they stack along the c-axis and form a 1D-column structure in this direction. The 1/4-filled LUMO band is established due to the electron transfer along this direction.

Fig. 2

Fig. 2. Temperature dependence of CpT–3 of (DI-DCNQI)2Ag salt. The magnetic fields are applied perpendicular to the stacking direction. The peak temperature shift slightly to the upward direction with increasing magnetic fields, but the transition itself survives if we apply large magnetic fields of 8 T.

Fig. 3

Fig. 3. Temperature dependence of CpT–3 of (DI-DCNQI)2Ag with the external fields applied parallel to the c-axis. The spin-flop fields are observed near 2 T, which is consistent with the results of other experiments such as EPR and NMR.


Heat Capacity and Phase Transitions of the Two-Dimensional Metal-Assembled Complex NPe4[MnIIFeIII(ox)3]

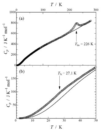
Heat capacities of the two-dimensional metal-assembled complex NPe4[MnIIFeIII(ox)3] (Pe=n-C5H11, ox = oxalato) were measured by relaxation method. Two distinct heat capacity anomalies were detected at TN=27.1 K and Ttrs=226 K, corresponding to antiferromagnetic and structural phase transitions, respectively, along with a hump around 23 K. The transition enthalpies and entropies were determined to be ΔH=1.11 kJ mol–1 and ΔS=33.2 J K–1 mol–1 for the magnetic phase transition, and ΔH=2.90 kJ mol–1 and ΔS=13.1 J K–1 mol–1 for the structural phase transition. The estimated transition entropy is close to the expected magnetic entropy Rln(6×6)=29.8 J K–1 mol–1 for the spin multiplicity of high spin MnII and FeIII ions. The magnetic heat capacities above TN can be well represented by the high-temperature expansion of S=5/2 two-dimensional antiferromagnetic Heisenberg model of a honeycomb lattice with an intralayer exchange interaction J/kB=–3.3 K. Application of spin-wave theory indicated a three-dimensional antiferromagnet below TN. The hump around 23 K might be associated with the existing uncompensated magnetic moments. The structural phase transition at Ttrs=226 K may be assigned to a structural phase transition of order-disorder type due to increasing conformational change of the n-C5H11 chains in the organic cation.

(by Y. Miyazaki)

Fig. 1

Fig. 1. [MnIIFeIII(ox)3] network structure.

Fig. 2

Fig. 2. Heat capacities of NPe4[MnIIFeIII(ox)3] over the whole temperature region (a) and at low temperatures (b). Antiferromagnetic and structural phase transitions were observed at TN=27.1 K and Ttrs=226 K, respecitively.

Fig. 3

Fig. 3. Excess heat capacities at low (a) and high (b) temperatures. Excess heat capacities below TN=27.1 K are proportional to T3 (solid curve), indicating three-dimensional antiferromagnet below TN. Excess heat capacities above TN are well represented by high-temperature expansion of S=5/2 two-dimensional antiferromagnetic Heisenberg model of a honeycomb lattice with an intralayer exchange interaction J/kB=–3.3 K (broken curve).


Heat Capacity and Magnetic Phase Transition of the Two-Dimensional Metal-Assembled Complex
(tetrenH5)0.8CuII4[WV(CN)8]4·7.2H2O

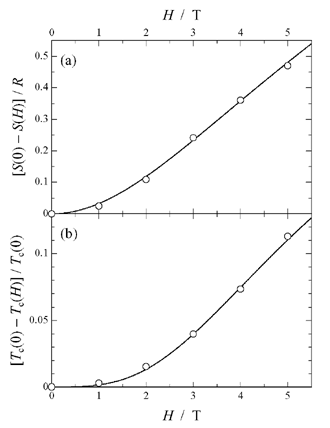
Heat capacities of the two-dimensional metal-assembled complex (tetrenH5)0.8CuII4[WV(CN)8]4·7.2H2O (tetren = tetraethylenepentamine) were measured under magnetic field parallel to b axis. A heat capacity peak due to ferromagnetic phase transition was observed at Tc=32.7 K under zero magnetic field, together with a heat capacity tail arising from the short-rang ordering of spins characteristic of two-dimensional magnets above Tc. As magnetic field increased, both the magnetic transition temperature and the magnetic heat capacities decreased. Magnetic-field dependence of the magnetic entropy and the magnetic transition temperature is discussed by a simple model.

(by Y. Miyazaki)

Fig. 1

Fig. 1. Projection of double layer of (tetrenH5)0.8CuII4[WV(CN)8]4·7.2H2O on ab plane (: Cu, : W, ○: C, ●: N). The disordered tetrenH55+ cation and H2O molecules are omitted.

Fig. 2

Fig. 2. Heat capacities of (tetrenH5)0.8CuII4[WV(CN)8]4·7.2H2O under zero magnetic field. Inset shows its heat capacities at low temperatures. A heat capacity peak was observed at Tc=32.7 K, above which a heat capacity tail characteristic of low-dimensional magnets was found.

Fig. 3

Fig. 3. Magnetic heat capacities of (tetrenH5)0.8CuII4[WV(CN)8]4·7.2H2O under magnetic field parallel to b axis. As magnetic field increased, both the magnetic transition temperature and the magnetic heat capacities decreased.

Fig. 4

Fig. 4. Magnetic-field dependence of magnetic entropy (a) and magnetic transition temperature (b) of (tetrenH5)0.8CuII4[WV(CN)8]4·7.2H2O. Solid curves in (a) and (b) are drawn by Eqs. (1) and (2), respectively.

Table 1

Table 1. Magnetic heat capacity parameters for (tetrenH5)0.8CuII4[WV(CN)8]4·7.2H2O.

Equation 1 Equation 2

Equations (1) and (2).

Copyright © Research Center for Structural Thermodynamics, Graduate School of Science, Osaka University. All rights reserved.