Electronic Heat Capacity of Organic Superconductor which Contains Water Molecules in the Anion Layer

Thermodynamic investigation of an organic superconductor κ-(BEDT-TTF)2 Ag(CN)2 H2O in which the BEDT-TTF dimers are arranged in the κ-type structure in the donor layers is performed by the relaxation calorimetric technique at low temperatures and under magnetic fields. A thermal anomaly related to the superconductive phase transition was observed at 5 K. The magnitude of residual γ* in the superconductive state is nearly 1/6 of the normal state γ value, which is larger than those of κ-(BEDT-TTF)2 Cu(NCS)2, and κ-(BEDT-TTF)2 Cu[N(CN)2]Br salt. The lattice heat capacity reflected on the β-term in the low-temperature heat capacity was found to be affected by the cooling rate. The disorder produced in the network structure constructed by hydrogen bond in the insulating layer is considered to give low-energy phone excitations reflected in the heat capacity.

(by Y. Nakazawa)

Fig. 1

Fig. 1. Temperature dependence of heat capacity of κ-(BEDT-TTF)2 Ag(CN)2 H2O in a CpT −1 vs T 2 plot. A thermal anomaly related to the superconductive transition is observed around 5 K.

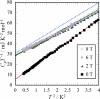
Fig. 2

Fig. 2. CpT −1 vs T 2 plot of κ-(BEDT-TTF)2 Ag(CN)2 H2O obtained under 0 T and under magnetic fields. The normal state electronic heat capacity coefficient γ and residual electronic heat capacity coefficient γ* are estimated by a linear extrapolation of the fitting lines.


Thermodynamic Characters of 2D-Linked Networks of Mn4 Single-Molecule Magnets under Pressures and Magnetic fields

The magnetic properties of two-dimensional networked single-molecule magnets, (1) [Mn4 (hmp)6 {N(CN)2}2] (ClO4)2, (2) [Mn4 (hmp)4Br2(OMe)2 {N(CN)2}2] 2THF·0.5H2O (hmp = 2-hydroxymethylpyridine, THF = tetrahydrofuran) are studied by AC calorimetry technique under pressure up to p = 2 GPa. These compounds show peak structures in the temperature dependence of heat capacity, which are associated with antiferromagnetic transitions. With the increase of pressure, the Neel temperature (TN) of (1) and (2) show upwards and downwards sift, respectively. This result suggests that the pressure enhances the inter-cluster magnetic interactions to increase long-range order temperature for (1). The long-range nature in (2) is once suppressed but enhanced under the high pressure region above 1 GPa.

(by O. Kubota & Y. Nakazawa)

Fig. 1

Fig. 1. Pressure dependence of CpT −1 vs T data of [Mn4 (hmp)6 {N(CN)2}2] (ClO4)2.

Fig. 2

Fig. 2. Pressure dependence of CpT −1 vs T data of [Mn4 (hmp)4Br2(OMe)2 {N(CN)2}2] 2THF·0.5H2O.


Thermodynamic Property of Single-Chain Magnets under Magnetic Fields

We report results of thermodynamic measurements of series of Mn-Ni single chain magnet (SCM), [Mn(saltmen) Ni(pao)2 (bpy)] (PF6) (1), [Mn(3,5-Cl2saltmen) Ni(pao)2 (phen)] (PF6) (2), and [Mn(5-Clsaltmen) Ni(pao)2 (phen)] (BPh4) (3). These samples have similar crystal structure to each other. However, the inter-chain couplings are quite different due to the difference of molecular structure and counter anions. Inter-chain coupling of the (1) is strongest and that of the (3) is weakest. The heat capacity measurement is performed by the thermal relaxation technique under magnetic fields. (1) shows peak structure corresponding to anti-ferromagnetic transition due to inter-chain coupling around 11 K. This peak is suppressed by magnetic field. On the other hands, (2) shows no peak structure in the whole temperature region (5 K – 30 K). However large magnetic fields dependence of heat capacity curve is observed in (2) around 12 K. Similar tendency is observed more clearly in (3).

(by S. Yamashita & Y. Nakazawa)

Fig. 1

Fig. 1. Heat capacity of [Mn(saltmen) Ni(pao)2 (bpy)] (PF6) (1), [Mn(3,5-Cl2saltmen) Ni(pao)2 (phen)] (PF6) (2), and [Mn(5-Clsaltmen) Ni(pao)2 (phen)] (BPh4) (3) under magnetic field.

Fig. 2

Fig. 2. Differences of heat capacities under 0 T and several high magnetic fields; [Mn(saltmen) Ni(pao)2 (bpy)] (PF6) (1) (0 T – 8 T), [Mn(3,5-Cl2saltmen) Ni(pao)2 (phen)] (PF6) (2) (0 T – 8 T), [Mn(5-Clsaltmen) Ni(pao)2 (phen)] (BPh4) (3) (0 T – 12 T).


Magnetic Property of Cu7 Complex
at Extremely-Low Temperatures

We report results of the low-temperature thermodynamic measurement of heptacopper complexes, [Cu7 (μ3-Cl)2(μ3-OH)6 (D-pen-disulfide)3]. This complex consists of two cubane units and forms an inversed pyramidal structure in which 7 Cu ions are included. The constitutive copper cations are divalent. The ground state of the magnetic complex is studied by theoretical calculation. The heat capacity measurement is perfomed by thermal relaxation method under magnetic fields and at low temperatures. There is no magnetic transition below 10 K. However, broad peak structure seems to be a schottky heat capacity judging from data under magnetic field. From the value of the peak (4 J K−1 mol−1) and peak temperature under magnetic fields, the ground state of this system is considered to be S = 1/2 state.

(by N. Tokoro & S. Yamashita & Y. Nakazawa)

Fig. 1

Fig. 1. (a) Schematic representations of core structures of the [Cu7 (μ3-Cl)2(μ3-OH)6 (D-pen-disulfide)3]. (b) Schematic illustrations for spin cages of [Cu7 (μ3-Cl)2(μ3-OH)6 (D-pen-disulfide)3].

Fig. 2

Fig. 2. Temperature dependence of heat capacity of [Cu7 (μ3-Cl)2(μ3-OH)6 (D-pen-disulfide)3] under magnetic fields.

Copyright © Research Center for Structural Thermodynamics, Graduate School of Science, Osaka University. All rights reserved.